Measurement of flash lamps and other pulsed light sources

Recommended product: specbos 2501

To measure flash lamps and other pulsed light sources, the spectroradiometer JETI specbos 2501 can be used.

Many light sources do not emit continuously, but in a pulsed mode. Typical examples are flash lamps, emergency signs, PWM powered LEDs, but also broadcast and consumer monitors. The repetition rates can lie between 1 Hz or less (e.g. repeated flash lamps) to some 100 Hz (e.g. monitors) or 1 ... 2 kHz (LED lamps). Furthermore there exist sources with only a single shot, e.g. the flash light of a camera.

unterscheidung lichtquellen

Differentiation of Pulsed Light Sources

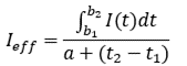
The relevant quantity for the characterization of pulsed sources is their Effective intensity Ieff. It is the Luminous intensity of a steady light of the same relative spectral distribution as the flashing light, which would have the same luminous range as the flashing light under identical conditions of observation [1].

It is related to a single flash and defined by the following formula:

formel

The effective Intensity depends from the pulse duration and from the pulse shape. The two diagrams (on the right side) show two examples of pulse sequences.

 

Instruments, measuring only the integral of the flash and not the waveform and duration of the pulse, can only be used for sources as flash lamps (Xe), where the pulse duration t2 - t1 is neglectible compared to the Blondel-Ray factor a (0.2 s).

In this case it is possible to use the simple formula:

formel kurz

Single pulses:
The measurement of single pulses needs a triggering of the measurement by the light source or vice versa.

diagramm pulse sequence neglectible

 

diagramm pulse sequence non neglectible

 

Measuring objects:

Pulsed sources as

  • emergency lights,
  • flash lamps,
  • shoppered lamps
  • slowly pulsed LEDs

A non synchroneous measurement of continuously pulsed sources is only possible if the pulse length is much shorter than the measurement scan time. If this condition is not satisfied the measurement has to be synchronized to the pulse frequency of the source. Otherwise the measuring results will be not precisely. This can easily be checked with repeated measurements.In case of this problem the results will fluctuate. Averaging will reduce the effect, but not solve the problem. This can only be done with a synchronization of the measurement with regard to the pulsed source.

 

messung scb1211 1

Continuous and quasi-continuous sources as

  • TV,
  • Monitors,
  • LCD-, LED-Displays,
  • digital projectors,
  • traffic lights,
  • car lights

Pulsed sources are often point like sources and therefore they will be measured with a luxmeter or with regard to specbos in illuminance mode using the diffusor cap. Monitors are measured in luminance mode. specbos 2501 measures the cycletime of a pulsed source with an additional detector in the front face. The spectral measurement will be synchronized with the measured source cycle. Radiometric and photometric values are indicated in exposure per puls (H).

 

screenshot luminous exposure


Recommended product

specbos 2501

 

[1] Ohno, Yoshi: Physical measurement of flashing lights - now and then.

We use cookies
Essential Cookies

The essential cookies are always active. The website will not work without this. The essential cookies comply with all guidelines for the protection of your personal data.

Optional Cookies

However, some applications can only be guaranteed with the help of cookies, which could also forward your data to unsafe third countries. Their privacy policy applies to these applications:

  • YouTube (Videos)
  • Google Analytics

You can find out more about what cookies are and how they work in the privacy policy.

Do you agree to the use of all cookies?